研究进展

    研究进展

    当前您的位置: 首页 > 研究进展 > 正文

    2025年学术进展系列之43:我院天体物理光学AGN团组在《ApJ》期刊上发表研究性文章

    日期: 2025-07-22 浏览次数:

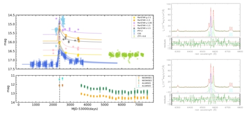
    院天体物理光学AGN团组在天文学期刊ApJ上发表了题为A candidate for True Type-2 AGN without hidden central BLRs Identified by central Tidal Disruption EventSCI文章。

    在该项工作中,基于光变特征和光谱特征,我们首次基于TDE的特性,进行了一个True type-2 AGNTT2AGN)的证认,可以看到中心核区,但是中心并没有BLRs的存在。该类特殊的TT2AGN将在统一模型的验证中发挥一定的效力,且可以为BLRs的诞生和消亡提供基础信息。后续关于TT2AGN的研究正在有序进行中。

     Fig.1: Left panel shows the light curves and the TDE model determined best descriptions. Right panel shows the emission line features around Hα.

    中文题目:基于中心TDE光变特征以及观测光谱特征对TT2AGN的证认

    论文作者:顾莹(博士研究生)、郑琪(联培博士研究生)、程培祯(硕士研究生)、李啸(博士研究生)、陈兴黔(硕士研究生)、张雪光(通信作者)、梁恩维(通讯作者)

    发表期刊:Astrophysical Journal in press

     

    联系地址:广西区南宁市大学东路100号

    联系电话:0771-3237386

    邮 编 :530004

    关注我们

    版权所有:广西大学物理科学与工程技术学院