研究进展

    研究进展

    当前您的位置: 首页 > 研究进展 > 正文

    2025年学术进展系列之33:我院天体物理光学AGN团组在《ApJ》期刊上发表研究性文章

    日期: 2025-07-22 浏览次数:

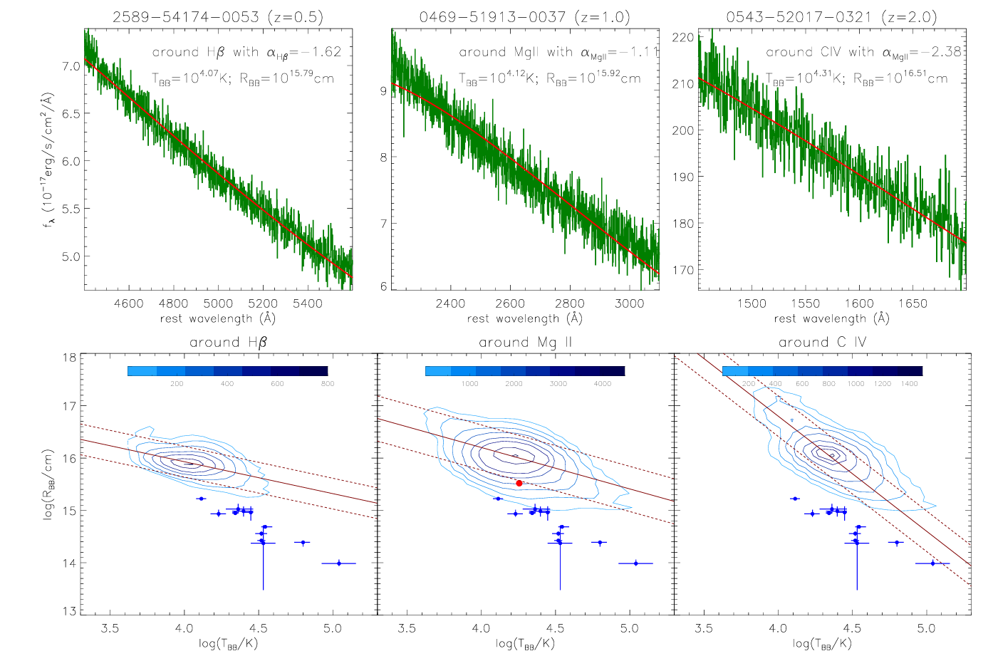
    院天体物理光学AGN团组在天文学期刊ApJ上发表了题为A central TDE candidate detected through spectroscopic continuum emission properties in a SDSS blue quasarSCI文章。

    在该项工作中,基于TDE事件依赖的连续谱特征和类星体中的连续谱特征的强度差异,在黑体辐射尺度与黑体辐射温度的参数空间内,可以发现TDE事件与普通类星体的显著差异,基于该差异,我们在SDSS的类星体中进行了TDE事件的搜寻和证认。后续将基于该结果进行SDSS类星体中TDE事件的样本报道和研究。

      

    Fig. 1: Top panel shows the best descriptions to the continuum emissions in normal SDSS quasars. Bottom panel shows the properties of SDSS quasars and TDEs in the space of R – T. In bottom panel, solid circles in blue shows the optical TDEs, and contour for the results related normal SDSS quasars.

    中文题目基于光谱和光变特征对SDSS类星体中TDE事件的证认

    论文作者张雪光(通信作者)

    发表期刊:Astrophysical Journal

    文章链接:https://arxiv.org/abs/2501.16585

     

    联系地址:广西区南宁市大学东路100号

    联系电话:0771-3237386

    邮 编 :530004

    关注我们

    版权所有:广西大学物理科学与工程技术学院