研究进展

    研究进展

    当前您的位置: 首页 > 研究进展 > 正文

    2024年学术进展系列之89:我院硕士研究生罗睿与导师在大质量恒星形成区含硫分子的观测研究中获得进展

    日期: 2024-12-25 浏览次数:

    硫(S)是宇宙中含量第十的元素,与氢的相对丰度约为1.3×10-5,硫元素在许多星际分子中存在。含硫分子是确定大质量恒星形成区内部物理条件的有力工具。包括H2SH2CS HCS+在内的含硫分子的丰度高度依赖于物理和化学变化,这意味着它们是大质量恒星形成演化阶段的良好示踪剂。

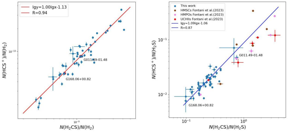
    基于IRAM望远镜的观测,我们测量了51个大质量恒星形成区的源得到了H2S 110-101, H234S 110-101, H2CS 514-414, HCS+ 4-3, SiO 4-3, HC3N 19-18, and C18O 1-0谱线,利用H234S计算得到H2S柱密度,利用C18O计算得到H2柱密度。[H2S/H2][H2CS/H2][HCS+/H2]的丰度比范围在一个量级以上,且相关系数高,斜率为正,线性关系强,这些分子之间可能存在化学联系,其中H2CSHCS+的相关系数和斜率分别为0.941.00,相关性最强。

    我们搭建了一个气体—尘埃表面—冰三相模型,通过比较观测和模型的结果,发现在一段时间(约2-3×105yr)内,模型与测量的H2SH2CSHCS+的丰度相匹配。在这些源中,H2SH2CSHCS+的丰度随着SiO丰度的增加而增加,这意味着激波化学很重要,在进一步建模时,需要考虑激波的影响。

    此项工作已经发表在202411月份的《天文学与天体物理学》(A&A)。


    1 H2CSHCS+分子丰度分布图。左图采用H2做标准化右图采用H2S做标准化。


     

    2 气体—尘埃表面—冰三相化学模型。实线为最高温度为60K100K150K的模型的数据,点为实际的观测数据。

     

    论文作者:罗睿(硕士研究生),王均智(通讯作者),张霞(中国科学院新疆天文台),全冬晖(之江实验室),蒋雪健(之江实验室),李娟(中国科学院上海天文台),勾茜(重庆大学),李郁强(中国科学院上海天文台),徐雅霓(硕士研究生),郑思琪(中国科学院上海天文台),欧超(博士研究生),刘怡嘉(安徽师范大学)

    论文链接:https://doi.org/10.1051/0004-6361/202449477

     

    联系地址:广西区南宁市大学东路100号

    联系电话:0771-3237386

    邮 编 :530004

    关注我们

    版权所有:广西大学物理科学与工程技术学院