研究进展

    研究进展

    当前您的位置: 首页 > 研究进展 > 正文

    2020年研究进展系列之38:我院天体物理团队基于重子载入量限制喷流的发射时间

    日期: 2020-09-16 浏览次数:

    我院天体物理团队任佳、林达斌等成员的论文研究成果被The Astrophysical Journal Letters 期刊接受发表

    链接网址https://arxiv.org/abs/2009.04735

    作者:Jia Ren(硕士研究生), Da-Bin Lin, Lu-lu Zhang, Kai Wang, Xiao-yan Li, Xiang-Gao Wang, En-Wei Liang

    研究内容简介:

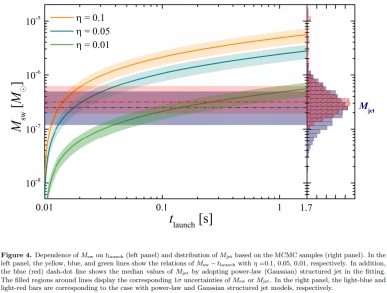
    GRB 170817A是与知名的引力波暴GW170817成协的伽玛射线暴,其相对于GW1708171.74秒的时间延迟。这个时间延迟携带了关于伽马射线暴物理的一些重要信息。在这个工作中,我们提出了一种新方法对这一时间延迟的主要来源进行限制。首先,我们利用结构化喷流模型对GRB 170817AX射线/光学/射电波段余辉进行了MCMC(马尔科夫链蒙特卡洛方法)拟合,其中,VLBI(甚长基线干涉法)测量得到视超光速结果也被用于限制模型。在这里,我们采用能量和重子载入量随角度有分布的结构化喷流模型进行建模,包括幂律、高斯两种结构化喷流结构。拟合结果发现,两种喷流结构均能够很好地描述观测数据,据此,我们推断出了喷流中所具有的总的重子载入量。通过将喷流的重子载入量与双中子星并合后不同阶段的抛射物进行比较,我们对喷流的发射时间进行限制,发现喷流的发射时间相对于双星并合仅晚数百乃至数十毫秒。我们的这一发现表明,GRB 170817A相对于GW170817的时间延迟主要由喷流传播到其耗散半径的传播时间决定。

    1. 两种结构化喷流的数据拟合结果

    2. 喷流重子载入量及其发射时间限制


    联系地址:广西区南宁市大学东路100号

    联系电话:0771-3237386

    邮 编 :530004

    关注我们

    版权所有:广西大学物理科学与工程技术学院